Repeating And Terminating Decimals Math With Mr. J
248.037
5:40
What Are Repeating Decimals? What Causes...
74.659
7:02
How To Convert Fractions To Recurring Decimals...
185.356
5:14
Trick To Identify Terminating Rational Numbers &...
956.505
6:02
Recurring Decimals As Fractions Gcse Maths 2025
50.946
0:59
Recurring Decimals Number Maths Fuseschool
54.289
5:42
How To Convert Fractions To Repeating Decimals -...
16.910
9:11
Write Repeating Decimals 2.1666 As Rational...
149.325
4:08
How To Write A Repeating Decimal As A Fraction
7.665
4:11
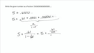
Repeating Decimal To Fraction Using Geometric...
68.660
2:58
Recurring Decimal - 9 आवरत दशमलव Rly Group D...
354.406
13:08
Writing A Repeated Decimal As A Fraction
1.804
3:18
Pc 20 1.5 Repeated Decimal As A Fraction Example
252
7:28
Time To Crack Another Equation With Saad -...
2.665
3:02
How Do We Write A Non Terminating Recurring...
134.934
4:41
Grade 10 Recurring Decimal To Fraction
78.414
7:30
What Is Recurring Decimal Numbers And How Can We...
2.991
9:18
Write 2 Digits Recurring Decimal 0.5676767 As...
6.553
4:45
166. Fraction To Recurring Decimal Leetcode Daily...
1.894
Key Skill - Convert From A Recurring Decimal To A...
28.870
6:15
Expressing Recurring Decimal As An Exact Fraction...
135
5:31
Write 3 Digit Recurring Decimal 0.12345345 As...
10.762
3:59
Example Use A Geometric Series To Write A...
194
3:26
How To Prove A Recurring Decimal Is A Rational...
1.677
2:10
10.549
2:15
Recurring Decimal To Fraction
226
3:27
Repeated Decimal To Fraction
1
2:09
Using Geometric Progression To Convert A...
1.456
3:29
7.4 Writing Repeated Decimal As A Fraction
205
11:30